[87]

Exclusive Processes in QCD and Light-Front Wavefunctions

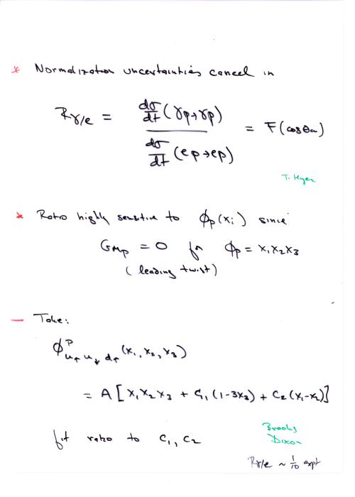
S. Brodsky