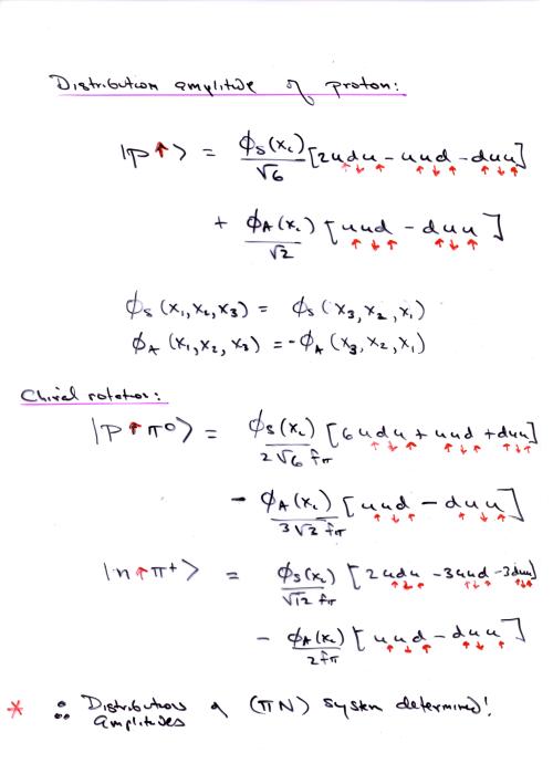
[46]

Exclusive Processes in QCD and Light-Front Wavefunctions

S. Brodsky