[10]
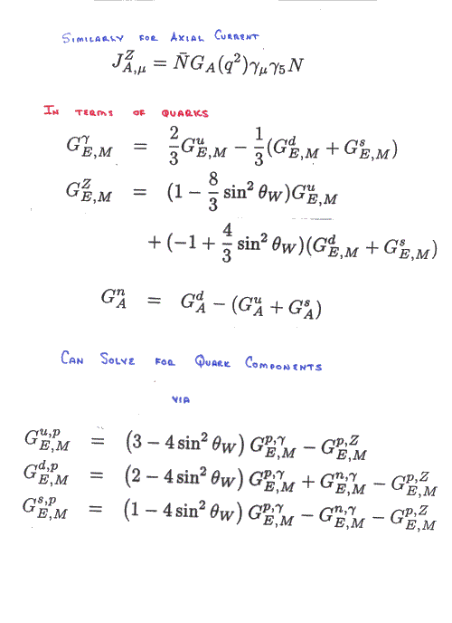
Strange form factors and anapole form factor theory
B. Holstein